STATISTICAL ANALYSIS OF THE ENDURANCE TESTS ON WIRE ROPES OF OIPEEC RESEARCH
€0.00
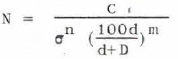
The results of the endurance tests on ropes carried out within the picture of the research activity of OIPEEC program and reported in n. 8 relative Bulletin have been critically discussed and analytically interpreted by R.Giovannozzi [ 1) through relationexpressing the N fatigue endurance of a wire rope according to the tensile stress a and the winding ratio
( D = diameter of pulley race, d = wire rope diameter). The values of n, m, C coefficients have been established on the ground of the experimental results obtained in the various laboratories. Whilst the n values [1] appear fairly similar, the variation of m and particularly o f C is more accentuated in the various laboratories. The C value ratio between the less “severe” machine (such as defined by L. Lehanneur [2] ) and the more “severe” one is ~ 19 .
Author: E. Leporati




